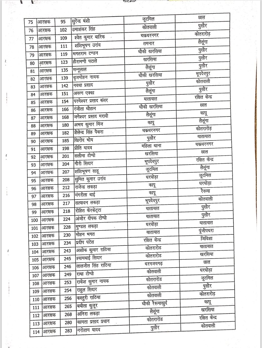
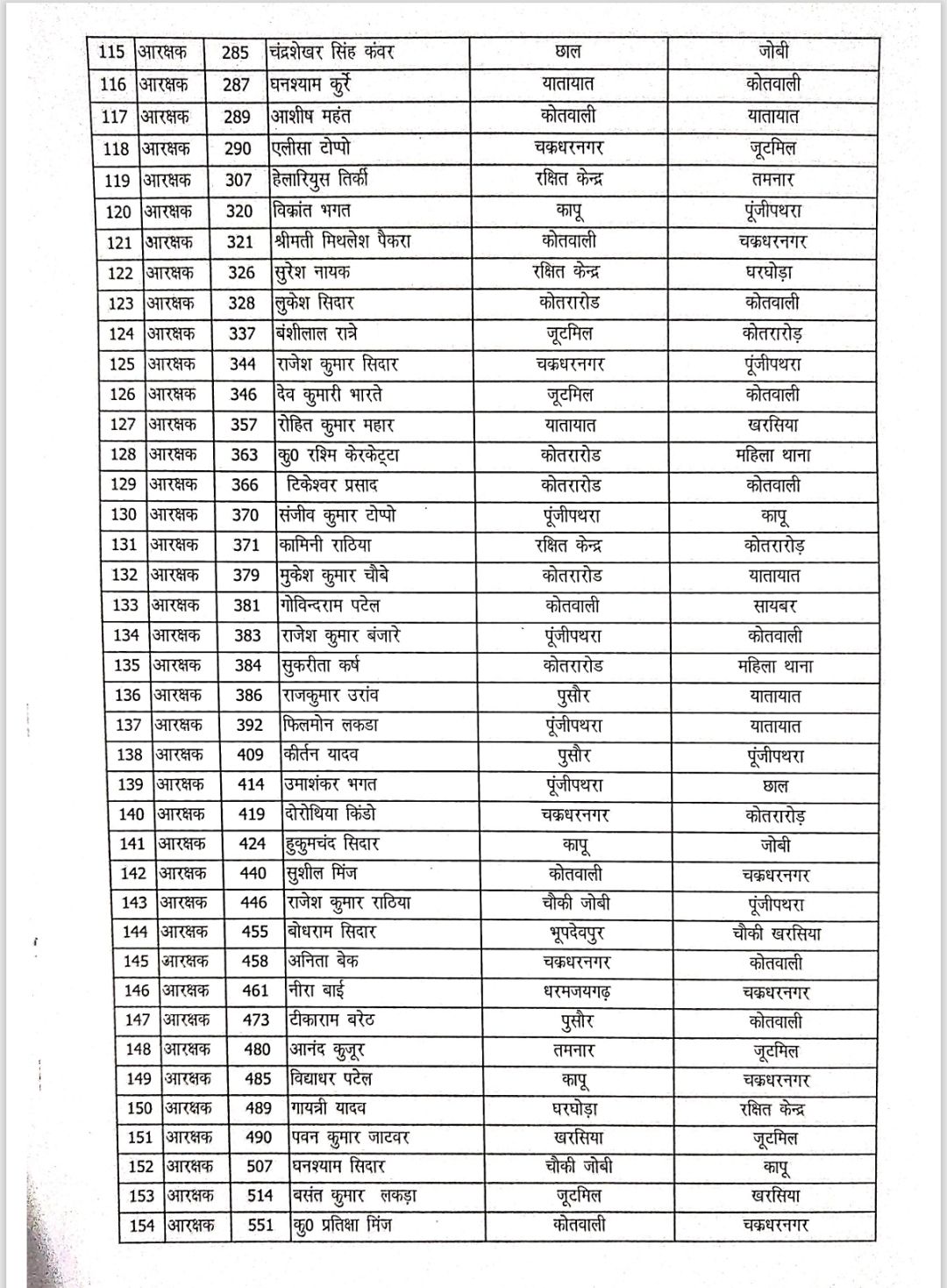
रायगढ़ पुलिस में बड़ा फेरबदल, बड़ी संख्या में पुलिस अधिकारी-कर्मचारियों के तबादले
रायगढ़। जिले में कानून-व्यवस्था को और अधिक सुदृढ़ बनाने के उद्देश्य से पुलिस विभाग में बड़े पैमाने पर प्रशासनिक फेरबदल किया गया है। Shashi Mohan Singh के आदेश पर जारी तबादला सूची में कई उप निरीक्षक, सहायक उप निरीक्षक, प्रधान आरक्षक एवं आरक्षक स्तर के पुलिस अधिकारी-कर्मचारियों को इधर-उधर किया गया है।
जारी आदेश के अनुसार जिले के विभिन्न थानों, चौकियों, यातायात शाखा तथा पुलिस लाइन में पदस्थ कई पुलिसकर्मियों को प्रशासनिक दृष्टि से नए स्थानों पर पदस्थ किया गया है। यह तबादले तत्काल प्रभाव से लागू कर दिए गए हैं।
तबादला आदेश में कोतवाली, चक्रधरनगर, पुसौर, पूंजीपथरा, धरमजयगढ़, तमनार, लैलूंगा, खरसिया, जूटमिल, रक्षित केंद्र, यातायात शाखा सहित कई थानों और चौकियों में पदस्थापना में बदलाव किया गया है। इससे जिले की पुलिस व्यवस्था को और अधिक चुस्त-दुरुस्त बनाने की उम्मीद जताई जा रही है।
आदेश में स्पष्ट किया गया है कि संबंधित अधिकारी-कर्मचारी तत्काल अपने नवीन पदस्थापना स्थल पर कार्यभार ग्रहण करेंगे। आदेश की प्रतिलिपि संबंधित अधिकारियों को भेजते हुए पालन सुनिश्चित करने के निर्देश भी दिए गए हैं।
पुलिस विभाग के इस व्यापक फेरबदल को प्रशासनिक दृष्टि से महत्वपूर्ण माना जा रहा है, जिससे विभिन्न थानों में कार्य क्षमता बढ़ाने और कानून-व्यवस्था को मजबूत करने में मदद मिलेगी।






- महुआ के नशे पर पुलिस का प्रहार: कुडुमकेला में छापा, 26 लीटर कच्ची शराब के साथ महिला गिरफ्तार - May 30, 2026
- आंगनबाड़ी में मासूमों को पिलाया जा रहा आयरनयुक्त दूषित पानी! स्वास्थ्य पर मंडरा रहा गंभीर खतरा छैडोरिया गांव की आंगनबाड़ी में पेयजल संकट, बच्चों और गर्भवती महिलाओं की सेहत से हो रहा खिलवाड़ - May 30, 2026
- सत्ता की हनक या दफ्तरशाही का घमंड? सरगुजा में ‘खादी’ और ‘अधिकारी’ के बीच हाई-वोल्टेज दंगल!… FIR दर्ज… - May 28, 2026
